در نظام آموزشی کشور، امتحانات تشریحی بخش مهمی از ارزیابی دانشآموزان را تشکیل میدهند.امتحانات تشریحی (شبیهسازی امتحانات نهایی و مدرسه) وقتی به شکل استاندارد برگزار شوند، میتوانند عملکرد دانشآموزان را بهطرزی چشمگیر ارتقا دهند.
در این میان، شرکت در آزمون تشریحیِ قلمچی بهعنوان یکی از ابزارهای اصلی، فرصت میدهد تا دانشآموزان با شرایط امتحان واقعی بیشتر آشنا شوند، نقاط ضعف و قوت خود را شناسایی کنند، و در نتیجه آمادگی بیشتری برای امتحانات مدرسه و نهایی کسب نمایند.
هدف این مقاله این است که شما را با این ابزار قدرتمند آشنا کند و نشان دهد چرا ثبتنام در آزمون تشریحی آنلاین قلمچی میتواند بهترین ابزار موفقیت در امتحانات مدرسه باشد.
آزمون تشریحیِ قلمچی چیست؟
آزمون تشریحیِ قلمچی، آزمونی است که طراحی شده است بهمنظور شبیهسازی شرایط امتحانات مدرسه و امتحانات نهایی: از لحاظ زمان، ساختار سوالات، بارمبندی، نحوه نمرهدهی و …
به عبارت دیگر، این آزمون بهگونهای برگزار میشود که دانشآموز تجربهای مشابه با «امتحان واقعی» داشته باشد: یعنی نه صرفاً تستی، بلکه سوالات تشریحی، با زمان محدود، با تصحیح و بازخورد، و غالباً با یک دوره¬بندی منظم (برای مقاطع مختلف از پایه ششم تا دوازدهم) صورت میگیرد.
همچنین، این نوع آزمونها باعث آشنایی دانشآموزان با استانداردهای طراحی سوال، بارمبندی مباحث، و نحوه نمرهدهی میشود — عواملی که اگر ناآشنا باشند، ممکن است باعث کاهش چشمگیر نمرات در امتحانات نهایی نسبت به امتحانات مدرسه شود.
با توجه به روند آموزش و اهمیت سوابق تحصیلی و امتحانات پایانترم، چنین آزمونی میتواند نقش بسیار تاثیرگذاری ایفا کند.
چرا آزمون تشریحی آنلاین قلمچی بهترین ابزار برای موفقیت امتحانات مدرسه است؟
در ادامه به دلایلی میپردازم که نشان میدهد چرا ثبتنام در آزمون تشریحی آنلاین قلمچی میتواند بهترین ابزار موفقیت شما در امتحانات مدرسه باشد:
شبیهسازی کامل شرایط امتحان واقعی
آزمون تشریحی قلمچی طوری طراحی شده است که دانشآموز با محیط، زمان و ساختار سوالات امتحان واقعی آشنا شود. این تجربه باعث میشود استرس امتحان واقعی کاهش یابد، آشنایی با شرایط ایجاد شود و آمادگی بهتر برای روز امتحان حاصل گردد.افزایش «خودآگاهی آموزشی» و شناسایی نقاط ضعف
با شرکت در این آزمون، دانشآموز میتواند بسنجد که در چه مباحثی ضعیفتر است، در چه بخشهایی زمان بیشتری صرف میکند، کدام نوع سوالات برایش مشکل دارد، و در نتیجه میتواند برنامه مطالعاتی بهتری تنظیم کند. خودآگاهی بالا یکی از عوامل کلیدی موفقیت است.تقویت مهارت نگارش و پاسخ تشریحی
بسیاری از دانشآموزان مهارت نوشتاری و پاسخ به سوالات تشریحی را کمتر تمرین کردهاند؛ این آزمون فرصتی فراهم میکند تا چندین بار «نوشتن پاسخ تشریحی» را تجربه کنند، اشتباهات رایجِ نگارشی و ساختاریشان را ببینند، و در نتیجه در امتحان مدرسه عملکرد بهتری داشته باشند.افزایش اعتماد به نفس
وقتی دانشآموز چندین بار تجربه آزمون تشریحی را پشت سر گذاشته باشد، در روز امتحان واقعی احساس امنیت بیشتری میکند، و این اعتماد به نفس میتواند موجب کاهش اضطراب و ارتقای نمره شود.تنظیم برنامه مطالعاتی هدفمند
با بازخورد آزمون، دانشآموز و معلم یا مشاور میتوانند برنامه مطالعاتی را دقیقتر تنظیم کنند: مباحث مهمتر، زمانبندی مناسب، تکرار بیشتر بخشهای ضعیف، و کاهش تمرین روی بخشهایی که قبلاً به تسلط رسیدهاند.یادگیری و مرور
آزمون تشریحیِ قلمچی در دورههای زمانی پاییز، زمستان، بهار برگزار میشود. این تکرار مستمر، یادگیری را تثبیت میکند، باعث میشود دانشآموز آمادگی مستمر داشته باشد، نه اینکه صرفاً لحظهای برای امتحان آماده شود.هماهنگی با سیستم ارزشیابی و کنکور
بخش مهمی از ارزشیابی دانشآموزان، امتحانات تشریحی هستند و آشنایی با روند آنها برای موفقیت در سوابق تحصیلی و ورود به دانشگاه حیاتی است. آزمون تشریحی قلمچی دقیقاً این بخش را هدف قرار میدهد.
با در نظر گرفتن این دلایل، میتوان گفت ثبتنام در آزمون تشریحی آنلاین قلمچی میتواند به عنوان «بهترین ابزار موفقیت در امتحانات مدرسه» تلقی شود — به شرط اینکه دانشآموز به موقع شرکت کند، نتایج را تحلیل نماید، نقاط ضعف را برطرف کند و برنامه مطالعاتی خود را بر مبنای آن تنظیم کند.
فواید شرکت در آزمون تشریحی
آشنایی با شرایط واقعی امتحان: همانطور که گفته شد، زمان محدود، ساختار سوال، بارمبندی و نحوه نمرهدهی امتحان نهایی یا مدرسه ممکن است برای بسیاری از دانشآموزان جدید باشد. شرکت در آزمون تشریحی این آشنایی را فراهم میسازد.
کاهش ترس و اضطراب امتحان: مواجهه چندباره با شرایط آزمون، اضطراب را کاهش میدهد و دانشآموز با آرامش بیشتری مقابل دفترچه امتحان قرار میگیرد.
بهبود مهارت نوشتن پاسخ تشریحی: پاسخ دادن به سوالات تشریحی نیاز به نظم فکری، ساختار مناسب پاسخ، نوشتن به شیوهای که نمره کامل بگیرد دارد — با تمرین بیشتر، این مهارت تقویت میشود.
تحلیل دقیق عملکرد و بازخورد: پس از آزمون، دانشآموز میتواند عملکرد خود را با استاندارد مقایسه کند، ببیند کدام سوالات را اشتباه زده، کدام بخش را نصفه رها کرده است و تا چه میزان از زمان خود بهینه استفاده کرده است.
ایجاد عادت مطالعه منظم: چون آزمونهای دورهای هستند (پاییز، زمستان، بهار) دانشآموز تشویق میشود که بهصورت منظم مطالعه کند، نه بهصورت صرفاً فشرده لحظهای.
افزایش تراز و نمره در امتحانات مدرسه و نهایی: از آنجا که آزمونهای تشریحی قلمچی دقیقاً شرایط امتحانات مدرسه و نهایی را شبیهسازی میکنند، دانشآموز در آن شرایط آشناتر است و بنابراین احتمال دارد نمره بهتری دریافت کند.
تقویت روحیه رقابتی: وقتی دانشآموز در آزمون قلمچی شرکت میکند، نتایج او با سایر شرکتکنندگان قابل مقایسه است، این باعث افزایش انگیزه و رقابت سالم میشود.
برنامهریزی دقیقتر برای ادامه تحصیل: با کسب تجربه و بازخورد از این آزمونها، دانشآموز و مشاور میتوانند نقاط قوت و ضعف را شناسایی کنند و بر مبنای آن برای امتحانات بعدی یا حتی کنکور و انتخاب رشته برنامهریزی نمایند.
برای ثبت نام آزمون قلم چی کلیک کنید
برای مشاوره رایگان آزمون قلم چی کلیک کنید
نحوه استفاده از آزمون تشریحی قلمچی و نکات اجرایی
برای اینکه بهترین بهره را از این آزمون ببرید، پیشنهاد میکنم مراحل زیر را دنبال کنید:
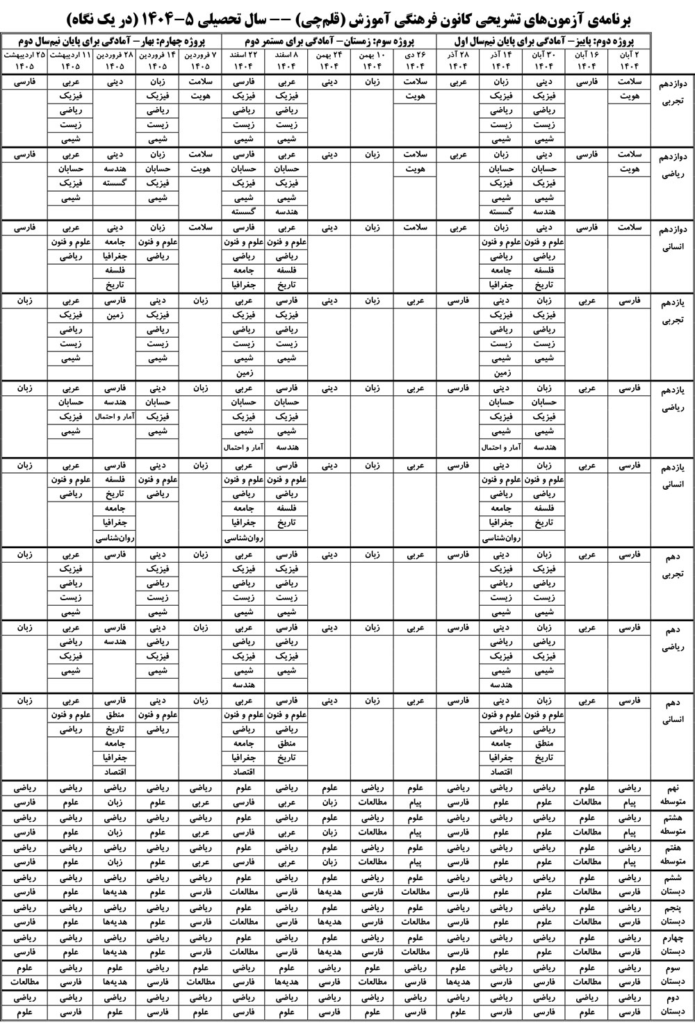
ثبتنام بهموقع: ابتدا وارد سامانه قلمچی آنلاین شوید و در پروژه آزمون تشریحی (پاییز، زمستان، بهار) ثبتنام نمایید. این پروژهها از پایه دوم دبستان تا دوازدهم برگزار میشود.
مطالعه پیشزمینه: قبل از آزمون، مباحثی که در محدوده آزمون هستند را مرور کنید؛ وقتی با آمادگی وارد آزمون شوید، ارزشیابی دقیقتر انجام خواهد شد.
شرکت در آزمون با شرایط واقعی: هنگام آزمون، خودتان را ملزم کنید که دقیقاً زمان را رعایت کنید، از وسایل اضافی استفاده نکنید، تلاش کنید پاسخها را به صورت کامل و ساختاریافته بنویسید.
دریافت بازخورد و تحلیل کارنامه: پس از آزمون، کارنامه و تحلیل آن را جدی بگیرید. ببینید کدام سوالها را اشتباه پاسخ دادهاید، چرا، آیا زمان پاسخگویی بهینه بوده است یا نه، کدام بخشها را بیش از حد دست کم گرفتهاید.
تنظیم برنامه مطالعاتی بر مبنای نتایج: با توجه به بازخورد، بخشهای ضعیفتر را در برنامهتان بیشتر کنید. زمان مطالعه را بهینه کنید، مباحث مهمتر را اولویت دهید، سوالات تشریحی بیشتری در آن بخشها تمرین کنید.
تمرین مداوم و مرور: چون آزمونها در دورههای زمانی مختلف هستند، بین آزمونها جهت مرور مباحث ضعیف زمان بگذارید، سوالات مشابه بزنید، اشتباهات قبلی را تکرار نکنید.
نظارت و مشاوره: اگر امکان دارد، با معلم یا مشاور درباره نتایجتان صحبت کنید، نقاط ضعف و قوتتان را بررسی کنید و از راهنمایی ایشان بهرهمند شوید.
حفظ انگیزه و روحیه رقابتی: نتایج آزمون را با خودتان مقایسه کنید، نه صرفاً با دیگران؛ اما اگر دیدید دوستانتان بهتر عمل کردهاند، آن را انگیزهای برای خودتان بدانید و نه دلسردی.
آمادگی برای امتحان مدرسه و نهایی: پس از چند دوره آزمون تشریحی، شما تقریباً با شرایط امتحانات مدرسه و نهایی آشنا شدهاید؛ بنابراین زمانی که امتحان اصلی فرارسید، با اعتماد بیشتری وارد آن خواهید شد.
تأثیر آزمون تشریحی قلمچی در امتحانات مدرسه و نهایی
شرکت مستمر در آزمون تشریحی قلمچی میتواند اثرات زیر را در نتایج امتحانات مدرسه و امتحانات نهایی داشته باشد:
کاهش افت نمره از مدرسه به نهایی: بسیاری از دانشآموزان در امتحانات مدرسه خوب عمل میکنند، اما در امتحانات نهایی بهدلیل عدم آشنایی با شرایط جدید، دچار افت میشوند. آزمون تشریحی کمک میکند این فاصله کاهش یابد.
افزایش احتمال ارتقای نمره و تراز: وقتی دانشآموز با شرایط آزمون، سرعت پاسخگویی، سوالات تشریحی و نحوه نمرهدهی آشنا باشد، احتمال دارد نمره بیشتری کسب کند.
بهبود سوابق تحصیلی و تاثیر آن در انتخاب رشته: در نظام فعلی، سوابق تحصیلی (از جمله امتحانات نهایی) بسیار مهم است. شرکت در آزمون تشریحی و کسب آمادگی بیشتر، میتواند به بهبود این سوابق کمک کند.
ترکیب موفقیت در مدرسه و کنکور: اگر دانشآموز همزمان برای امتحانات مدرسه خوب آماده باشد و هم بتواند برای کنکور نیز برنامهریزی کند، آزمون تشریحی میتواند بهعنوان پل ارتباطی باشد؛ یعنی از مدرسه تا کنکور، روند یادگیری و ارزیابی منسجمی فراهم نماید.
افزایش مهارت پاسخگویی تشریحی که در دانشگاه و بعد نیز کاربرد دارد: هرچند تمرکز این آزمون بر مدرسه و نهایی است، اما مهارت تشریحی نوشتاری برای دانشجو نیز اهمیت دارد.
ثبتنام در آزمون تشریحی آنلاین قلمچی – راهنمای مختصر
برای ثبتنام در آزمون تشریحی آنلاین قلمچی، مراحل کلی عبارتند از:
مراجعه به سایت رسمی ثبت نام آنلاین قلمچی (قلم چی آنلاین )
انتخاب بسته مورد نظر
شرکت در آزمون به شکل آنلاین و دریافت بازخورد و کارنامه.
تحلیل نتایج و تنظیم برنامه مطالعاتی برای دوره بعد.
جمعبندی و توصیه پایانی
اگر بخواهیم در یک جمله نتیجه بگیریم: ثبتنام در آزمون تشریحی آنلاین قلمچی، میتواند بهترین ابزار موفقیت در امتحانات مدرسه باشد، بهشرط اینکه با جدیت و استمرار عمل شود.
دانشآموزانی که میخواهند نمرات عالی در امتحانات مدرسه بهدست آورند، میتوانند راهکار زیر را دنبال کنند:
همین امروز ثبتنام کنند.
در آزمون با استاندارد واقعی شرکت کنند.
نتایج را جدی بگیرند، تحلیل کنند و اشتباهاتشان را اصلاح کنند.
برنامه مطالعاتی خود را با توجه به بازخورد آزمون تنظیم کنند.
بین آزمونها مرور مستمر داشته باشند.
از معلم و مشاور کمک بگیرند.
با این شیوه، نه تنها امتحانات مدرسه را با موفقیت میگذرانید، بلکه آمادگی برای امتحانات نهایی و بخش بزرگی از مسیر کنکور را نیز خواهید داشت.
برای ثبت نام آزمون قلم چی کلیک کنید
برای مشاوره رایگان آزمون قلم چی کلیک کنید

پاسخ دهید